2026-03-30
農曆02月(小)12日 星期一 牡羊座
丙午年 生肖屬馬 辛卯月 癸卯日
宜:祭祀 會親友 出行 立券 交易 冠笄 納財
忌:嫁娶 動土 掘井 起基 定磉 破土
沖:沖雞(丁酉)煞西
合作媒體:
視傳媒
生活達人誌
彪網媒
大和傳媒
賴傳媒
環宇時報
廟宇介紹
廟宇新聞
廟宇活動
我的守護神
小百科
特色人物
活動剪影
加入我們
廟宇介紹
台南市
台北市
新北市
桃園市
台中市
高雄市
基隆市
新竹市
新竹縣
苗栗縣
南投縣
彰化縣
雲林縣
嘉義市
嘉義縣
屏東縣
宜蘭縣
花蓮縣
台東縣
澎湖縣
金門縣
廟宇新聞
台南市
台北市
新北市
桃園市
台中市
高雄市
基隆市
新竹市
新竹縣
苗栗縣
南投縣
彰化縣
雲林縣
嘉義市
嘉義縣
屏東縣
宜蘭縣
花蓮縣
台東縣
澎湖縣
金門縣
廟宇活動
我的守護神
服務業界
商業界
工業、手工業界
農畜界
公教界
軍警消
醫藥界
宗教界
特種行業界
生肖守護神與本命元辰
其他祈福
小百科
宗教器物
宗教禁忌
宗教稱謂
宗教儀式
宗教節日
宗教活動
宗教建築
宗教學術
宗教藝術
其他
特色人物
吃吃喝喝
喜慶綜合服務
老師教練類
法律、顧問、民代
藝術文創
活動剪影
加入我們
2026-03-30 ( 一 )
農曆02月(小)12日 星期一 牡羊座
丙午年 生肖屬馬 辛卯月 癸卯日
宜:祭祀 會親友 出行 立券 交易 冠笄 納財
忌:嫁娶 動土 掘井 起基 定磉 破土
沖:沖雞(丁酉)煞西
合作媒體:
視傳媒 /
生活達人誌 /
彪網媒 /
大和傳媒 /
賴傳媒 /
環宇時報 /
廟宇介紹
高雄佛光山寺
公告
高雄佛光山寺
高雄市大樹區興田里興田路153號
TEL:
(07)656-1921
廟宇介紹
供奉神明
廟宇公告
活動訊息
活動剪影
藝文典藏
服務項目
生活景點
特色人物
祈福點燈
聯絡資訊
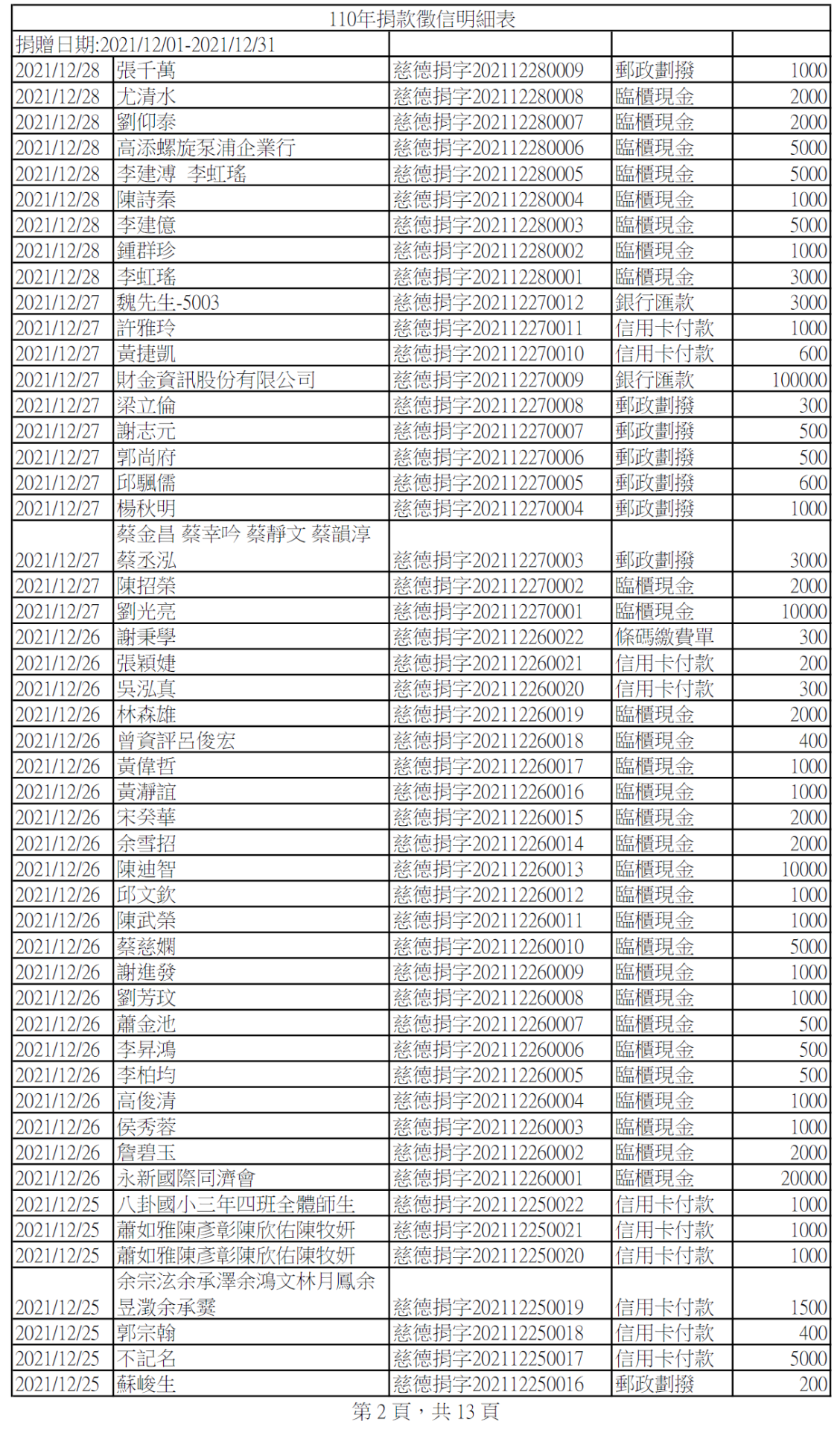
110年12月捐款明細
返回
詳細介紹
廟宇介紹
供奉神明
廟宇公告
活動訊息
活動剪影
藝文典藏
服務項目
生活景點
特色人物
祈福點燈
聯絡資訊